Szöveges részek szerkesztése
A kémiai rajzoknál meg kell különböztetni egymástól
szerkezeti szöveget (vegyjelek, kisebb-nagyobb funkciós csoportok szövegként,
atom labels, structural texts, nick names), és
egyéb szövegeket (ábra feliratok, reagensek,
captions). Az előbbiek az atomokhoz rendeltek, az utóbbiak szabadon, általában ún. szövegboxokban lehetnek, amelyek külön-külön alakíthatók, szerkeszthetők.

E kémiai programokban természetesen csak a szövegszerkesztés minimális elemei találhatók meg, tehát betűtípusok és méretek kezelése, sortördelés stb., ez azonban illeszkedik a Windowsban általában megszokott használathoz. A szövegek kezelése terén kifejezetten az Accelrys Draw a leggyengébb (nyilván csak az adatbázisok használatára összpontosítottak). Néha a ChemDoodle megoldása is komplikáltnak hat (pl. a görög betűk beillesztése). A kívánt szubsztituens természetesen különálló szövegként is elkészíthető és köthető a képlethez
A ChemDoodle kivételével a programokban a kétféle szöveg beállításai teljesen függetlenek egymástól. A DrawIt esetében öt, az Accelrys Draw-ban három, a többiben kétféle fontot és beállítást használhatunk párhuzamosan. A feliratok és egyéb szövegek szerkesztése technikailag a ChemSketch-ben és ChemBioDraw-ban a legjobb.
A speciális kémiai szimbólumok általában elérhetők a programokban, azonban a ChemBioDraw és a ChemDoodle tartalmaz még egy teljes karakter térképet is, így az összes installált font összes karaktere elvileg gyorsan bemásolható.
A vegyesen szöveget és képleteket tartalmazó táblázatok természetesen manuálisan összeállíthatók és félautomatikusan elrendezhetők. A ChemBioDraw támogatja a tabulátor használatát egyszerű szöveges táblázatok készítésekor, azonban ebben és a legújabb ChemSketch-ben egy igen jó szöveg + grafika táblázatszerkesztő is rendelkezésre áll. A DrawItben található azonban csak a szöveget támogatja.
A DrawIt és a ChemSketch támogatja a keretes megjegyzéseket (
annotation, callout), amik főleg spektrumok, kromatogrammok magyarázatánál hasznos. Ez ugyan a többi programnál is összerakható némi munkával és leleménnyel, itt azonban készen állnak a különböző formátumok:
Nemzeti karakterek – E programokat világszerte használják, ezért igen fontos a nemzeti, így a magyar ékezetes írásjelek támogatása is. Sajnos, több mint 20 évvel a Windows operációs rendszer betörése óta e szempontból sok program korántsem tökéletes. A tesztet a magyar és izlandi karakterekkel végeztük:
- Accelrys Draw 4 – nincs probléma
- ChemBioDraw – ver. 11-12.: nem teljes támogatás, ver. 13-14.: csak az Arial, Times New Roman és Courier font támogatott.
- ChemDoodle – nincs probléma
- ChemSketch 12 – nem teljes támogatás
- Chemistry 4-D Draw – nincs probléma
- DrawIt 4.1 – nem teljes támogatás (a nemzeti karakterek megfelelőek a programban, de egy részük eltűnik a Wordbe való átvitel során.)
Mivel a nemzeti karakterek kezelése a képernyőn és a billentyűzeten függ az operációs rendszerektől is, ezért a fenti eredmények nem tekinthetők abszolút érvényűnek.
Templátok, csoportrövidítések
A Chemistry 4-D Draw kivételével a programokhoz mellékelnek és lehet készíteni is kémiai templátlapokat (sablonokat), vagyis amelyek a gyakrabban használt szerkezeteket tartalmazzák és ezeket gyorsan át lehet a rajzunkba másolni. Beszerezhetők, letölthetők egyéb rajztemplátok is, például kémiai eszközöké (az Accelrys Draw-t kivéve). A technikai megvalósításban persze az egyes programokban különbségek vannak, talán a ChemSketch megoldása tekinthető a legfejlettebbnek
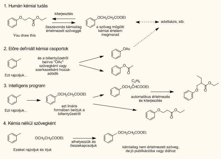
Másik lehetőség az ún. csoportrövidítések használata (
labels, superatoms, nicknames), ami tulajdonképpen a funkciós csoportok, szubsztituensek (COOtBu, NO
2) szöveges ábrázolása. Ezt az egyes programok különbözőképpen nevezik (
abbreviated group, superatom, nickname). Itt – a szerkezeti szöveggel ellentétben – a szöveg mögé rejtve megmarad a kémiai értelem. Ez igen fontos dolog adatbázisok használatánál.
Az ilyen linearizált oldalláncok, szubsztituensek bevitelére kémiai értelmezéssel vagy a nélkül több lehetőség is van. Ezeket összegzi az alábbi ábra
-
Megrajzoljuk a szerkezetet és utána a szubsztituenst rövidítjük, becsomagoljuk egy kémiailag értelmezett szöveggé. A folyamat meg is fordítható, a szöveges formátumú szubsztituens egy kattintással visszaalakítható, kicsomagolható teljes szerkezetté. Ennek adatbázisok használatakor van nagy jelentősége.
- Accelrys Draw: OK
- ChemBioDraw: OK
- Chemistry 4-D Draw: csak néhány előre definiált szubsztituens esetében működik.
- ChemDoodle: nem támogatja (formai hibákkal).
- ChemSketch: nem támogatja.
- DrawIt: tökéletlenül működik egyszerű szubsztituensek esetén is. A rövidített oldalláncok gyakran nem alakíthatók vissza.
- MarvinSketch: OK
- A fontos és gyakori, vagy a felhasználó által definiált szubsztituensek tárolva vannak és egy-két billentyűnyomással hozzáadhatók a már megrajzolt részekhez rövidített vagy kiterjesztett formában. Ez a módszer az Accelrys Draw, ChemBioDraw, ChemDoodle és MarvinSketch esetében áll rendelkezésre. A többiek csak részlegesen támogatják.
- Szövegként, lineáris formában beírjuk a szubsztituenst vagy oldalláncot, és a program ezt kémiailag értelmezi és valódi szerkezetté alakítja. A szöveg zárójeleket is tartalmazhat (ChemBioDraw, DrawIt and ChemSketch). A ChemBioDraw algoritmusa a legfejlettebb, itt az egyes atomokhoz ("betűkhöz") még elágazásokat is adhatunk,valamint az előzetesen definiált rövidítéseknek két csatlakozási pontjuk is lehet. A szerkezetté alakítás teljesen automatikus folyamat, ezért az eredmény szemre esetleg nem lesz tökéletes.
- Accelrys Draw: nem támogatja.
- ChemBioDraw: bármilyen lineáris forma beírható és szerkezetté alakítható, még bonyolult és elágazó szerkezetek is.
- Chemistry 4-D Draw: bármilyen lineáris forma beírható, de csak a nagyon egyszerűeket tudja kémiailag értelmezni és átalakítani.
- ChemSketch: bármilyen lineáris forma beírható és szerkezetté alakítható, aránylag bonyolultak is.
- ChemDoodle: bármilyen lineáris forma beírható és szerkezetté alakítható, még bonyolult és elágazó szerkezetek is.
- DrawIt: bármilyen lineáris forma beírható, de csak a nagyon egyszerűeket tudja kémiailag értelmezni és átalakítani.
- MarvinSketch: nem támogatja
A ChemBioDraw és a DrawIt esetén az oldalláncokhoz a "betűkből" kiindulva újabb alcsoportokat, láncokat lehet hozzáadni. Az utóbbi program ezt egyszerű grafikai elemként kezeli, a ChemBioDraw viszont kémiailag is értelmezi.
- A nyers módszer: ha a kémiai értelmezés nem fontos, az oldallánc egyszerű szövegként is elkészíthető és hozzákapcsolható egy kémiai szerkezethez. A MarvinSketch kivételével ezt mindegyik program tudja, azonban a 3. módszer ennél barátságosabb megoldás.
Összefoglalóan: A ChemBioDraw-ban a legfejlettebb ez a módszer, ezt követi a ChemSketch. Ha kémiai értelmezésre nincs szükség, a programok hasonlóak. Nehéz eldönteni, hogy melyik módszer alkalmasabb a szubsztituensek bevitelére: előre definiált szerkezetek vagy a beírt szöveg azonnali értelmezése. Mindkét módszernek meg vannak az előnyei és hátrányai.


A ChemBioDraw, ChemDoodle és DrawIt megengedi az "emeletes" szubsztituensek alkalmazását is.
Sajátos a Chemistry 4-D Draw megoldása. Az inteligens nomenklatura modul révén a programban csak a legalapvetőbb gyűrűk, funkciós csoportok kész templátjai találhatók meg. Viszont bármilyen berajzolt molekula elmenthető fragmentként, mint a rajzon a "cephem". Ez később a nevét beírva előhívható, sőt a szubsztituált származékokat is helyesen képezi.
Hasonló eljárás van beépítve az Accelrys Draw-ba is. A
structure resolver használatával a program belső adatbázisához tetszőleges szerkezet/név párosítás adható hozzá.
Kémiai intelligencia, nevezéktan
Mint az előbb említettük, a ChemBioDraw, DrawIt és ChemSketch képes a lineáris szövegként beírt szubsztituensek értelmezésére és szerkezetté alakítására. A programok ma már oda-vissza ismerik a IUPAC nomenklatúrát, így nagyon alkalmasak nevek generálására:
A modulok meglehetősen intelligensek és elég nehéz az eszükön túljárni, bár a szerves kémiai nómenklatúra mocsarasabb területein, pl. szénhidrátok, sokszor nem a várt eredményt adják. Egyesek adatbázisai bővíthetők triviális nevekkel. A Chemistry 4-D Draw és DrawIt az ionos multikomponens vegyületeket (pl. piridinium bromid) nem vagy csak semleges molekulaként értelmezi, míg a ChemBioDraw-nak vagy ChemSketch-nek ez nem probléma. A ChemBioDraw 12-es verziójának nómenklatura modulja már bonyolult policilikus vagy kondenzált rendszereket is értelmez. A nevezéktan modulok általában extrának számítanak és egyes alap vagy ingyenes verziókban nem vagy csak lebutítva találhatók meg. A szabadon letölthető ChemSketch verzióban is csak egy limitált szerkezet → név modul van, az ellenkezőt külön kell megvenni. Összefoglalva ezeket a következő tartalmazza.
A ChemBioDraw Ultra ≥ 9.0 verziói és a ChemDoodle szerkesztés közben is képesek automatikusan azonnal tükrözni a változásokat. A ChemDoodle szerkezet → név moduljában sok vagy/vagy opció állítható be (per/bis nómenklatúra, Hantsch/Widman rendszer, gyűrű/lánc prioritás, orto/meta/para használata, stb.) Ha pedig mindezeknél jobbra van szükségünk, vegyük meg az ACD/Name programot, ez fantasztikus teljesítményekre képes, beleértve pl. a szénhidrátok dzsungelét is. (
Példa)
A programok és verzióik IUPAC moduljainak összehasonlítása
| Program: |
Szerkezet névvé |
Név szerkezetté |
|
Accelrys Draw 4, akadémiai és kereskedelmi verzió |
igen |
igen |
|
| ChemBioDraw 14 |
csak az Ultra verzióban |
csak az Ultra verzióban |
|
ChemSketch 12, ingyenes és kereskedelmi verzió |
igen, max 50 atom/3 gyűrű |
nem |
|
Chemistry 4D Draw 8, Standard Pro |
igen igen |
nem igen |
|
| ChemDoodle 7.0 |
igen (opciókkal) |
igen |
|
DrawIt 9, akadémiai kereskedelmi |
max. 10 nehézatom igen |
max. 10 nehézatom igen (furcsa sztereokémia) |
|
| MarvinSketch 5.10 |
igen |
igen |
A programok közül, mint már fentebb említettük, az Accelrys Draw-ban és a Chemistry 4D Draw-ban lehetséges a program adatbázisába egy triviális névvel ellátott szerkezetet elmenteni. Ez később felhasználható mind a szerkezet névvé, mind a név szerkezetté átalakításokban.

Az összes ismertetett program és a MarvinSketch képes a tetraéderes atomok és kettőskötések sztereokémiáját a Cahn-Ingold-Prelog (CIP) szabályoknak megfelelően azonosítani, a ChemSketch kivételével mindegyik már rajzolás közben reagál a változásokra. A ChemSketch esetén a szerkezet minden változtatása után manuálisan törülni kell az előző markereket és kérni az újra azonosítást.
A ChemSketch nem-ingyenes verziójába integrált könyvtár több, mint 30 ezer vegyületet és 165 ezer triviális és kereskedelmi nevet tartalmaz, ezek kereshetők név, szerkezet, gyógyszer kód, hatástani kategóriák alapján. (Az ingyenes verzióben ezért részben kárpótol a közvetlen internetes keresés.)
Összefoglalva, a szerkezet → név szolgáltatás nagyon hasznos minden szerves kémikus számára, a fordítottja azonban már kevésbé praktikus: hosszú és bonyolultabb neveket nehéz hiba nélkül beírni, a rövidebbeket pedig biztosan gyorsabb berajzolni. A hosszabb nevek természetesen átmásolhatók máshonnan is.
Spektrumok és kromatogrammok kezelése
Új fejlesztési irány a kromatogramok és az UV, IR, MS, NMR spektrumok fogadásának, tárolásának és publikációs környezetbe való beillesztésének a lehetősége. A legsokoldalúbb a DrawIt és ChemSketch (csak a megfelelő modulok megléte esetén). A ChemBioDraw JCAMP és Galaxy formátumú fájlokat tud fogadni, a ChemDoodle JCAMP fájlokat. A görbékkel a szükséges nyújtások, alakítások, alapvonal korrekciók, csúcslisták elkészítése, annotálása támogatott, valamint természetesen képletekkel, szöveggel ellátva beilleszthető a publikációba. Itt persze a spektrumnak, kromatogrammnak csak a végső formálása végezhető, tehát pl. nem egy NMR FID jel Fourier-transzformálása. A programok teljes verziójában a spektrumok csúcsait össze lehet kapcsolni a szerkezeti képlet megfelelő atomjaival. Mivel a programok kiegészítői gyorsan változnak, ajánlatos a honlapokon mindig tájékozódni a legfrissebb fejleményekről.
A ChemSketch-be az ACD/Labs minden spektroszkópiai programjából átvihetők a spektrumok:
Egyéb kémiai kiegészítők
Nem könnyű feladat a rajzoláson túlmenő extrákat összefoglalni, mivel egyrészt ezek folyamatosan változnak, másrészt nagyon függnek a program verziójától (standard, pro, ultra verzió, ingyenes (
freeware) vagy kereskedelmi verzió, stb.), néha csak a vásárolt programhoz installálhatók, vagy külön kell megvenni, stb. Ezért ajánlatos az illető honlapokon elolvasni az éppen aktuális helyzetet (ld. még
táblázat).
Moltömeg, elemi összetétel %
Mindegyik program tudja számolni.
NMR:
1H és 13C: KnowItAll, ChemBioDraw (az Ultra verzió ChemNMR moduljával), ChemSketch (külön megveendő modul), Accelrys Draw (ACD/Labs kiegészítővel, csak a 3.x verziókhoz), MarvinSketch (NMR Prediction, szabad akadémiai licenc)
Egyik sem ab initio számolja az NMR spektrumokat, hanem beépített adatbázis alapján, így a pontosság az adatbázis nagyságának és tartalmának a függvénye. A DrawIt/KnowitAll 13C-NMR része a legsokoldalúbb, mivel (ha telepítve van a teljes Bio-Rad Suite) kívánságra megmutatja, hogy egy-egy atomnál milyen analóg környezetű vegyületek vannak az adatbázisban. A ChemSketch szintén tartalmaz hasonló lehetőségeket.
MS fragmentáció keresés
A fragmentációkereső tulajdonképpen a spektrométerben lejátszódó kötéshasadásokat utánozza és megadja a keletkezett fragmensek tömegét. ChemBioDraw, ChemSketch, ChemDoodle, DrawIt és Chemistry 4-D Draw rendelkezik ezzel a segédeszközzel, közülük az első háromé a legfejlettebb, ezzel több egyidejű fragmentációt is kijelölhetünk. (Ha többre van szükség, vegyük meg az ACD/MS Fragmentert vagy egy hasonló csomagot.)
A ChemDoodle és ChemBioDraw esetén ez az eszköz egyszerű szintézis/retroszintézis-szerű fragmentálásra is alkalmas.
IR: KnowItAll, ChemSketch (UV-IR Manager modullal)
:
Molekula IR spektrumának generálása, illetve meglevő spektrumhoz hasonlítása.
A DrawIt, mint ChemWindow Edition, a spektroszkópiai részeknek csak egy demóját tartalmazza.
Különféle kémiai tulajdonságokat számoló eszközök
ChemBioDraw: logP, logS, CLogP, kritikus nyomás, hőmérséklet és térfogat, Henry állandó, Gibbs energia, képződéshő, kritikus nyomás, molrefrakció.
ChemSketch: logP (ingyenes verzió) Az ACD/PhysChem kiegészítéssel: moláris refraktivitás és moltérfogat, parakor, logP, logD, pKa, felületi feszültség, sűrűség, dielekromos állandó, polarizálhatóság, Hammet σ, stb. Korábban ezek a fizetett I-Lab szolgálatással is elérhetők voltak, jelenleg ez nem támogatott.
DrawIt/KnowItAll: logP, logD, pKa, Rule of Five (licenctől függően).
Accelrys Draw: Rule of Five, izotopomer eloszlás, lehetséges sztereoizomerek és Markush szerkezetek keresése, valamint az ACD Lab fizikai-kémiai és NMR számoló modulja csak 3.x verzióknál.
ChemDoodle: Sok topológiai index, szerkezeti és analitikai adatok, Rule of Five, H-kötés donor/akceptor tulajdonságok, molrefrakció és moltérfogat, poláros felület, XlogP, sok termodinamikai és fizikai-kémiai tulajdonság, izotópeloszlás, stb.
MarvinSketch: protonálás és pKa, logP, logD, töltés és polarizálhatóság, tautomerek keresése, konformáció és molekula dinamika (Dreiding erőtérrel), 3D egymásra illesztés, topológiai adatok, molekula felület, Hückel analízis (HOMO, LUMO, lokalizációs energia, stb.), H-kötés donor/akceptor tulajdonságok. Több számítása eredményét grafikusan, izofelületekkel is megmutatja. Minden elérhető az ingyenes alapverzióban. Ezeket a számítási kiegészítőket online is ki lehet próbálni:
http://www.chemaxon.com/marvin/help/calculations/calculator-plugins.html
Ezek a számolt adatok természetesen megfelelő kritikával kezelendők.
ChemSketch ChemBasic Godies
Egy csokorra való különféle hasznos kiegészítő, többek között a többoldalas dokumentumok kezelésére, átalakítás HTML, VRML vagy SDF formátumba, peptid, szénhidrát és nukleinsav építés stb.
Reakció és sztöchiometria kalkulátor
A ChemSketch and ChemBioDraw ezzel a kiegészítőjével kémiai reakciók sztöchiometriáját, hozamát, a reagensek mennyiségét számolhatjuk ki. Hasonló kiegészítője van az Accelrys Draw-nak is.
Számos nem hivatalos kiegészítés érhető el az Accelrys Draw részére
13
Dokumentáció
Egy évtizeddel ezelőtt még minden komolyabb programhoz részletes nyomtatott dokumentációt adtak. Ez a jó szokás 2014-re eltűnt. Manapság a dokumentációt pdf formátumban adják a DVD-n vagy a letölthető programcsomagban.
A programbeli súgó (Help) dokumentáció az Accelrys Draw, ChemBioDraw, ChemSketch és DrawIt esetén jó. A Chemistry 4-D Lite Help dokumentációja hiányos, a keltezés szerint 2002-ben készült, több modul hiányzik belőle, az ún. Plasmid modul leírását még a program honlapján sem lehetett megtalálni. Barátságos megoldás az Accelrys Draw Helpjében, hogy külön fejezet segíti a régi ISIS/Draw felhasználókat az átállásban. A ChemDoodle esetén egy pdf fájlban található a leírás, sajnos index nélkül.
Említésre méltó még, hogy a ChemSketch kereskedelmi verziója igen nagy számú internet címet tartalmaz közvetlenül a kémiai újságok szerzői útmutatókat tartalmazó oldalaihoz, ezek közül több tucat pdf formátumban a program CD-ről is elérhető. Ez utóbbiak sajnos elég régiek, időszerű lenne a frissítés.
Kellemes figyelmesség a ChemDoodle részéről, hogy a program készítéséhez felhasznált adatok, számolt adatok, nevezéktan, fájl formátumok, stb. leírásának összes irodalmi referenciája elérhető.
Kémiai programok és Internet
Manapság egyre több olyan alkalmazás jelenik meg – jobban mondva böngésző kiegészítők (
plug-in) és Java kisalkalmazás (
applet), amelyek segítségével magában a böngészőben rajzolhatjuk meg a kémiai szerkezetet, például egy adatbázisban való keresés során. A ChemSketchnek is elérhető egy Java applet verziója az ACD honlapján (ACD/Structure Drawing Applet). Ez egy teljes tudású Java alapú rajzoló alkalmazás, templátokkal stb. együtt. A ChemSketch korábbi I-Lab kiegészítése jelenleg nem elérhető. A ChemBioDraw plug-inje is automatikusan indítja a rajzprogramot, ha egy ChemBioDraw dokumentumot tartalmaz az éppen nézett oldal. A DrawIt spektroszkópiai adatbázisokat tud használni. Ezekkel azonban itt nem foglalkozunk. Az
És mi van még?... fejezetben több java alkalmazás, applet is található.
A webalkalmazások fejlesztőinek igen hasznos lehet, hogy ChemDoodle a kémiai fájlokon és képeken túlmenően képes webkomponensek készítésére is egy speciális javascript könyvtár segítségével. A HTML 5 módszereire alapozott fejlesztői környezettel nem csak böngészők számára, hanem iPhone, iPod és Android eszközök részére is lehet interaktív alkalmazásokat készíteni.
9
A dokumentumokat egyből online (felhő) fájlként is tárolhatjuk a ChemDoodle-ból (iChemLab account kell hozzá) vagy a ChemBioDraw-ból (Dropbox accountot igényel). A ChemDoodle desktop és a ChemDoodle Mobile között így lehet a dokumentumokat mozgatni.
Az Accelrys Draw, ChemDoodle, ChemBioDraw, ChemSketch és MarvinDraw legutóbbi verziói több ingyenes kémiai adatbázis közvetlen elérését támogatják, így gyorsan visszakereshetők szerkezetek és/vagy adatok:
- Accelrys Draw: a Structure resolver segítségével kémiai és IUPAC nevek, regisztrációs számok és kulcsok kereshetők.
- ChemDoodle: szabad hozzáférés a PubChem, Emolecules, ChemSpider (nevek és CAS számok alapján szerkezetek visszakeresése) és forgalmazók adatbázisaihoz (ChemExper, keresés szerkezet alapján).
- ChemBioDraw: névhez tartozó szerkezetet kérhetünk le a ChemACX adatbázisból. Minden más, még az egyébként ingyenes Chemspider is csak fizetős szolgáltatásként érhetők el (ChemBioFinder Hotlink). Érvényes SciFinder előfizetéssel rendelkezők direkt keresést indíthatnak. (A ChemBioDraw ultra kliensként indul, majd átirányít a SciFinderbe.)
- ChemSketch: szabad hozzáférés a PubChem, Emolecules és ChemSpider adatbázisokhoz (adatok visszakeresése szerkezet alapján).
- MarvinSketch: szabad hozzáférés a ChemSpider, PubChem és Chemicalize adatbázisokhoz (nevek és regisztrációs számok alapján szerkezet visszakeresése)
Néhány egyéb funkció, például ChemSketch-ben a rajz azonnali elküldése pdf formátumban e-mailben, vagy a kémiai hírek megjelenítése a képernyő alján RSS módszerrel már az extra dolgok közé tartozik.
A különböző kémiai fórumokat és levelezőlistákat figyelve kiderül, hogy sok felhasználónak problémája van azzal, hogy miként lehet egy rajzot áttenni az interneten is használható formátumba. Ez néhány mindössze néhány másodperc egy jártas felhasználó számára, de gondot jelent egy kezdő számára. A DrawIt kivételével a többi program ezt támogatja. Mint már említettük, alapvető szabály, hogy
soha ne használjuk a JPG, csak a GIF vagy
PNG grafikus fájlformátumot! Ha többet akar megtudni a GIF és JPG formátumról,
olvassa el ezt a mellékletet.
Összefoglalás
A rajzfunkcióknál, néhány apróbb javítástól eltekintve, nincs nagyobb változás az újabb és újabb verzióknál, eltekintve az adatbáziskezelést érintő módosításoktól (polimerek, Markush struktúrák, stb.) A fejlesztők leginkább a kémiai oda-vissza nomenklatúra funkciókra helyezik a hangsúlyt, valamint a spektrumok fogadására és kezelésére, s újabban az internettel való kapcsolatra.
Jelenleg a három legerősebb program a ChemBioDraw, ChemSketch és ChemDoodle. A DrawIt-ban rejlő ChemWindow szintén nem lépett előre az előző verziókhoz képest, viszont a spektrumok és kromatogrammok importja, szerkesztése, adatbázissal való kapcsolata és a táblázatkezelés nagyon megerősödött. Hasonlóképpen, az ISIS/Draw utódja, az Accelrys Draw rajzkézség szempontjából nem tud sok újat felmutatni. A Chemistry 4D Draw sem igen fejlődött az elmúlt évek során.
A fejlődés nem áll meg, a hardver is egyre erősebb, s a fejlesztőknek minden évben ki kell rukkolniuk valami újjal, így aztán az eredetileg csakugyan csak kémiai rajzolásra szánt alkalmazásokból komplex alkalmazások lettek:
- Teljes kémiai, szöveges, spektrum és grafikus szerkesztő
- publikációs (klasszikus vagy web) célra vagy
- elektronikus jegyzőkönyvek számára
- Kémiai eszközök gyűjteménye
- MS fragmentáció kereső, VRK szerkesztő, kémiai táblázatszerkesztő, templátok és hasonlók;
- Gyors publikációs célú 2D → 3D átalakító és modellrajzoló;
- Név → szerkezet és szerkezet → név átalakítás, sztereokémia megállapítása;
- Passzív (egyirányú) adatbázis felhasználás:
- templátszerű felhasználás, természetes és kereskedelmi anyagok képletének gyors visszakeresése triviális
és IUPAC nevek vagy regisztrációs számok alapján;
- Anyagok tulajdonságainak, gyártóinak visszakeresése az internetről
- spektrumok számolása (adatbázisok alapján)
- Egyéb programok bemenő moduljaként:
- Kémiai adatbázisalkalmazások, vegyület és reakció nyilvántartás és keresésés, kromatográfiai
és spektroszkópiai adatbázisok kezelése, csúcskeresés, stb.;
- Fizikai-kémiai tulajdonságok, QSAR jellemzők számolása;
- On-line szolgáltatások igénybevétele
Látható, hogy nehéz dolog az összevetés, hiszen mindegyik programban található nem egy kifejezett pozitívum a többihez képest, de negatívum is. Egy program megítélésénél sok függ a felhasználó rutinjától is, hiszen egy felébe-harmadába ismert, de egyébként jó program rosszabb benyomást kelthet, mint egy jóval kevesebbet tudó, de alaposan ismert másik. A felhasználó-barátságosság is viszonylagos, mivel aki jól ismeri az egyik program trükkjeit, különböző gyorsbillenytűinek (
shortcut) a lehetőségeit, jóval gyorsabban tud dolgozni ezzel, mint egy másikkal. Egy új programra való átállás pedig mindig fanyalgással jár. Véleményem szerint átlag felhasználó esetén, ha csak szokásos szerves kémiai ábrákat kell rajzolni, mindegyik program egyformán megfelelő. Nagyobb igények, összetettebb rajzok esetén a ChemSketch vagy ChemBioDraw javasolható. A ChemDoodle is nagyon jó. Kémiával kevert biokémia folyamatok, ábrák esetén a ChemBioDraw a legajánlottabb. Ha a spektrumok, kromatogrammok kezelése lényeges, a DrawIt vagy ChemSketch ajánlható. Mivel a ChemDoodle kivételével mindegyik program adatbázis-kezelőhöz, illetve a ChemBioDraw molekulamodellező társprogramhoz is kapcsolódik, a végső ítéletbe az ezek iránti igény is beleszólhat. A Chemistry 4-D a legminimalistább, bár használható névgenerátorként is.
Egy gyakorlott és gyakori felhasználó valószínűleg nem elégszik meg egyetlen alkalmazással. Néhány tulajdonság csak az egyikben, míg mások csak egy másik programban érhetők el. Közös kémiai fájlformátumok ma már mindig akadnak, sőt a versenytársak is kölcsönösen támogatják egymás formátumait, amivel minden felhasználó csak jól jár.
A személyes véleményem szerinti sorrend:
1-2-3 – Átlagos publikáció átlagos rajzaihoz mindegyik alkalmazás megfelelő.
ChemSketch – a szabad vagy kereskedelmi verzió igény szerint.
ChemBioDraw – igény szerinti változat. A legsokoldalúbb az összes közül. Nincs szabad verziója és ingyenes web adatbázis kapcsolata.
ChemDoodle – gyorsan fejlődő újonc. Sok mindenben eléri a ChemBioDraw-t vagy akár jobb is, de egy nagyságrenddel olcsóbb. Még további csíszolásra, fejlesztésre szorul.
4 – Accelrys Draw (szabad akadémiai verzió)
5 – Az Accelrys Draw, DrawIt vagy Chemistry 4D Draw kereskedelmi változatai – csak ha szükség van rá a többi társprogram miatt, pusztán a rajzolás miatt nem érdemes megvenni. Jómagam főleg a ChemBioDraw-t használom, azonban egyes speciális esetekhez a ChemSketch vagy ChemDoodle is kéznél van.
És mi van még?...
A fentebb ismertetett programokon túlmenően jó néhány van még a piacon, ezek szabad programok vagy a shareware kategóriába tartoznak, egyesek egész jók, mások csak kísérletezgetésre használható egyszerű alkalmazások, nemegyszer béta fázisban. Vannak kifejezetten web alkalmazások számára készültek (
applet). Ezek részben teljesen ingyenes alkalmazások, mások csekély összegért regisztrálhatók.
MarvinSketch 6.0 (Windows, Linux, Mac)
(ChemAxon Ltd)
Több operációs rendszeren is használható érdekes és gyorsan fejlődő Java alkalmazás. Mint az elején említettük, nem adtuk hozzá a részletesen tárgyalt hat programhoz, mivel nem publikációs célú komplex rajzok készítésére szánták, azonban sok figyelemreméltó és jól használható tulajdonsága és eszköze van.


Bár ez is egy egyszerű 2D rajzoló program, azonban több olyan sajátsággal rendelkezik, ami általában csak a modellezőprogramok sajátja, például színezett atomok, golyós vagy CPK modellel való megjelenítés, 3D clean-up. Importálhatók 3D molekulák (Sybyl, PDB, XYZ, stb.), van külön 2D és 3D tisztítás (
clean-up). Támogatja az InChi, Smiles és Smarts sztringformátumokat is. A MarvinSketch web fejlesztők számára Java applet vagy bean-ként is elérhető, így felhasználható más alkalmazások, például on-line adatbázisok grafikus bemeneti moduljaként (a program emiatt is támogatja a kereső atomokat és kötéseket, R-logikát, Markush-szerkezeteket stb.), illetve önálló alkalmazásként is használható. Sokféle fizikai-kémiai tulajdonság is számolható, mint már előzőleg írtuk. A molekula adatai a beépített szerkesztőben többféle fájlformátumban is megtekinthetők. MDL adatbázis fájlok is beolvashatók és a JChemBase révén kapcsolható többféle adatbázishoz. IUPAC névgenerátort is tartalmaz. Társprogram: MarvinView (gyors 2D
→ 3D konverzió és megtekintés), MarvinSpace (3D molekula és felület megjelenítés). Részletekért lásd a ChemAxon honlapját.
A MarvinSketch is már élsimítással (
anti-aliasing) rajzolja a képernyőn a rajzokat. A kész ábrák JPG, BMP, PNG, PPM SVG, EMF formátumban elmenthetők, így sokoldalúan felhasználhatók.
URL:
http://www.chemaxon.com/product/msketch.html (ChemAxon Ltd)
WinPLT 7.1 (Windows)
(Hans J. Reich)


A 90-es évek elején a DOS alapú és milliónyi billentyűkombinációval dolgozó PLT a mazochisták rajzolóprogramja volt. Viszont ezzel a programmal tökéletesen uralni lehetett a rajzolást. Például a szövegek dőlését, méretezését, vastagságát, forgatását szabadon és folyamatosan lehetett szabályozni, hasonlóképpen a (többszörösen is) kereszteződő kötéseket és még sok egyéb paramétert is. A Windows változat sokkal felhasználóbarátságosabb, azonban egyúttal néhány különleges funkció elveszett. Ennek ellenére egyes fontokkal a szöveg- és karakterformatálás a Windows nyújtotta szokásos kereteken túlmenően is lehetséges. A program koncepciója, a rajzolás technikája eléggé eltér a megszokottól, ez új felhasználó számára szokatlan lehet (a programhoz bő Súgó és tanító tartozik). A vektorgrafika jelenléte erősen érződik (az eredeti DOS program HPGL formátumban dolgozott, a többi programban ezt a kémia jórészt elfedi), ez azonban több, máshol nem lehetséges megoldást tesz lehetővé: például a keton vagy szulfon csoport direkt egy kattintással való beépítését gyűrűkbe vagy akár szövegbe, vagy a meglevő kötések szétbontását vonalakra és átformatálást (pl. az ábra sztereo kettőskötései). Csak a saját PLT fájlformátumát írja és olvassa, a grafikát WMF, EMF, BMP, GIF, élsimított GIF és EPS fájlba vagy a Windows vágólapra lehet exportálni. Molekulafájlokat PLT formátumra a
Mol2Mol program tud átalakítani.
A Windows változatban lehetséges NMR spektrumok importálása és X-Y grafikonok alkotása. Néhány egyebütt nem található különleges funkció: gyakoribb atomcsoportok egylépéses rajzolása (keton, szulfon, csoportos sztereokötések stb.), kémiai dia-show (Powerpoint nélkül), Bézier, szinusz, koszinusz, parabola, kör, Gauss és Lorenz görbék, stb. Érdemes kipróbálni.
URL:
http://www.chem.wisc.edu/areas/reich/plt/winplt.htm
ICM-Chemist (Windows, Linux, Mac)
(Molsoft)
Programcsomag rajzolásra, 3D átalakításra, megjelenítésre, farmakofor keresésre, kémiai informatikához, stb. Megér egy közelebbi ránézést.
URL:
http://www.molsoft.com/icm-chemist.html
ChemPen (Windows)
(Hilton Evans)
Jó shareware program, több verziója létezik (NMR modullal, 2D → 3D átalakítás, molekulamechanika modul, Hückel számítás, QSAR analízis). Érdemes kipróbálni.
URL:
http://www.chempensoftware.com/
XDrawChem 1.9.9
WinDrawChem 1.7 (Unix, Windows)
(Bryan Herger)
Unix operációs rendszer alá íródott 2D szerkesztő. A ChemBioDrawhoz hasonló funkciókkal ellátott, MDL molfájlokat és ChemBioDraw fájlokat ért és ír. PNG és EPS formátumokba exportál. Kissé régebbi verziója a Windows alá írt WinDrawChem. 2005 óta nincs új verziója.
URL:
http://xdrawchem.sourceforge.net/
JChemPaint 3.3 (Windows, Linux, Mac)
(JChemPaint Project)
Több operációs rendszeren is használható Java program, applet verziója is létezik. Támogatja a CML, SVG, Smiles and MDL MOL/SDF formátumokat, valamint van
13C NMR modulja. Érdemes kipróbálni.
URL:
http://sourceforge.net/apps/mediawiki/cdk/index.php?title=JChemPaint
BKChem 0.14 (Windows, Linux, Mac)
(B. Kosata)
A BKChem python nyelven írt szabad multiplatform 2D rajzoló program A CML, Adobe SVG grafikát, PDF, Post Script, Open Office formátumokat stb. támogatja. Élsimított jó minőségű rajzokat lehet vele web lapokba beépíteni, ehhez szükséges az Adobe SVG plugin megléte.
URL:
http://bkchem.zirael.org
ChemicPen 2.6 (Windows)
(Cetramax)
Könnyen kezelhető program kémiai szerkezetek és reakciók rajzolására. Támogatja a nyomtatást és exportot más dokumentumokba.
URL:
http://www.cetramax.com/
ChemTool 1.6.13 (Linux)
(T.Volk - M. Kroeker)
Egyszerű kémiai képletrajzoló program, a GTK eszközkészletet használja X11 alatt.
URL:
http://ruby.chemie.uni-freiburg.de/~martin/chemtool/
ICEdit 2.3 (Windows)
(InfoChem)
Egyszerű kémiai szerkezet és reakció szerkesztő. MDL MOL, RXN és ISIS rajzfájlok és Smiles sztringek exportját és importját támogatja. A kereső funkciókat is tartalmazó Java applet verzió alkalmas szerkezet és reakció adatbázisok lekérdezéséhez.
URL:
http://infochem.de/products/software/icedit.shtml
SketchEI (Multiplatform)
(Sourceforge project, Dr. Alex M. Clark)
Java alapú interaktív kémiai szerkezetrajzoló táblázatkezelőkhöz. MDL MOL és SDF, valamint CML formátumú importot támogat. A szerkezetek SVG vagy PNG grafikaként exportálhatók.
URL:
http://sketchel.sourceforge.net/
JavaGrins (Java)
(Daylight Chemical Information Systems, Inc)
Nagyan egyszerű Java alapú kémiai rajzoló. Molekulákat és reakciókat lehet szerkeszteni és SMILES sztringgé alakítani.
URL:
http://www.daylight.com/meetings/emug99/Bharadwaj/SMARTS/
TouchMol (Windows, web és mobile alk.)
(Scilligence Corp.)
A TouchMol több platformra elérhető (web, mobil és érintőképernyő, desktop gépek és MS Office) kémiai/biológiai szerkesztő alkalmazás. Az alap kémiai szerkezetrajzolás kiegészül még egy egyszerű peptid és DNS/RNS szekvencia szerkesztővel és néhány biológiai objektummal (gének, antitestek). A vizsgált web verziónak még volt néhány gyermekbetegsége, például a lasszóválasztás nem működik pontosan sok objektum esetén. Nem alkalmas publikáció minőségű rajzok készítésére (pl. a szöveges szubsztituensekben nem lehet alsó/felső indexet használni), de web keresésekre alkalmas.
URL:
http://www.daylight.com/meetings/emug99/Bharadwaj/SMARTS/
* * *
Java kisalkalmazások (appletek)
Mivel a különféle internetes szolgáltatások mára meglehetősen elterjedtek, nagyon fontosak az olyan kisalkalmazások, amelyek egy böngészőbe ágyazva lehetővé teszik a kémiai szerkezetek bevitelét. Ezek általában kereső szerkezetek bevitelére alkalmasak. A fejlettebbek támogatják a molekulafájlok olvasását is, illetve a szerkezetek exportját más dokumentumokba. A részletek helyett itt csak utalnánk egy friss összefoglaló cikkre [8].
JME Editor 2004.10(Peter Ertl, Novartis Pharma AG)
Az egyszerű és felhasználóbarátságos JME Editor egy szabadfelhasználású java applet, amellyel egy HTML oldalon, web böngészőben lehet közvetlenül szerkeszteni molekulákat és reakciókat. A szerkesztővel Smiles, MMDL MOL/RXN vagy sajátformátumú fájlokat lehet beolvasni illetve exportálni. A JME professzionális verzió nem applet, henem önálló Swing alkalmazás. Csak kémiai szerkezeteket lehet rajzolni és exportálni/importálni. Szubstruktúra lekérdezések is szerkezsthetők vele. Kitűnő grafikus input modul on-line adatbázisokhoz vagy fizikai-kémiai tulajdonságok számításaihoz.
Az applet csupán szerkezeti képletek megjelenítésére is alkalmas:
URL:
http://www.molinspiration.com/jme
A JME Editor egy újabb változata a Web2.0 Ajax technológián alapuló Molinspiration WebME Molecule Editor. URL:
http://www.molinspiration.com/docu/webme
ChemWriter (Metamolecular LLC)
Egy másik egyszerű javascript alapú multiplatfrom rajzoló eszköz web és mobil alkalmazásokhoz. MDL molfájolok exportja és importja lehetséges
URL:
http://metamolecular.com/chemwriter/
JDraw (Accelrys)
Az Accelrys JDraw szintén egy egyszerű, internetes alkalmazásokhoz való kémiai szerkesztő és megjelenítő..
URL:
http://accelrys.com/products/informatics/cheminformatics/draw/jdraw.php
JSDraw (Scilligence Corp)
Az előzőekhez hasonló javascript alapú multiplatform szerkesztő. ChemBioDraw, MarvinSketch, ISIS/Draw fájlokat olvas és ír, használhatók Smiles, Smarts szövegsztringek is. Társalkalmazása a JsSDF kémiai táblázatkezelő.
URL:
http://www.scilligence.com/web/jsdraw.aspx

Xemistry Web Sketcher (Xemistry GmbH)
Fejlett és nagyon jól használható multiplatform rajzoló. Mivel ez szerver oldali alkalmazaás, nincs szüksége semmi kiegészítőt applet, stb. letöltésére. Az export és import számára sokféle formátumot támogat, többek között a legtöbb string formátumot (Smiles, InChi, SLN, Cactus, stb.), a fontosabb molfájlokat (MDL MOL, PDB, MOL2, stb) és a grafikus export számára több bitmap és vektor formátumot (GIF, PNG, SVG, EPS, WMF, PDF, stb.). A rajzolót könnyen lehet kapcsolni számos web alkalmazáshoz, szolgáltatáshoz.
* * *
Kiegészítők (add-in)
Chem4Word (University of Cambridge and Microsoft Corp.) (Windows)
A kémiai információ dokumentumokba ágyazásának egy másik érdekes közelítése a Microsoft Word számára készített kiegészítés, a Chem4Word, amely a Cambridge-i Egyetem és a Microsoft közös projektje. A Word szövegszerkesztőbe ágyazott ún. kémia zónákkal avagy mezőkkel (
chemical zones) sokféle információt lehet megjeleníteni. Más szóval egy passzív képpel ellentétben a kémiai mezőknél néhány kattintással kiválaszthatjuk, hogy a beágyazott mező helyén milyen grafikus vagy szöveges információ jelenjen meg. Kémiai szerkezeteket az internetről (PubChem vagy OPSIN) vagy CML fájlokból lehet a mezőkbe betölteni. Bár a Chem4Wordben van egy igen egyszerű kémiai szerkesztő is, ez csak az importált szerkezetek módosítására alkalmas. Szükség van tehát valamilyen különálló kémiai szerkesztőre is, ami képes a molekulákat CML formátumban exportálni, ha egy adott anyag nem található meg az interneten. Az egész projekt még kísérleti állapotú és csak MS Word 2007 vagy 2010 szövegszerkesztővel működik.
URL:
http://chem4word.codeplex.com és
http://research.microsoft.com/en-us/projects/chem4word/
TouchMol4Office (Scilligence Corp.) (Windows)
Az érintőképernyős eszközökre optimalizált és az MS Office alkalmazásokba (Word, Excel, PowerPoint és OneNote).integrálódó TouchMol hasznos lehet interaktív táblázatok létrehozásához, kalkulált adatok megjelenítéséhez, SDF és egyéb fájlokból vagy web vagy ORACLE/SQL szerverekből importált szerkezetek megjelenítéséhez. Létezik SAR elemző verziója is. A felhasználói igények szerinti testreszabás is lheteséges VBA segítségével. Kémaia és biológia szerkezetek rajzolhatók közvetlenül PowerPointban.
URL:
http://www.scilligence.com/web/touchmol.aspx
Vissza az elejére
Megjegyzések és irodalom
1.
Acceylrys (Symyx) Draw 4.1, Symyx Technologies, Inc; Internet cím:
http://accelrys.com/products/informatics/cheminformatics/draw/
2.
ChemBioDraw Ultra 14, CambridgeSoft Corporation, Cambridge, MA, USA; Internet cím:
http://www.cambridgesoft.com.
b) Ismertetés URL: http://www.macresearch.org/chembiodraw-12-review
3.
DrawIt 9.0 (KnowItAll Academic edition), Bio-Rad Laboratories Informatics Division, Philadelphia PA, USA; Internet cím:
http://www.chemwindow.com vagy
http://www.bio-rad.com.
4. A tesztelés körülményei: több laptop Intel Core 2 vagy Core i7 CPU-val, Windows XP SP3, Windows Vista SP2 és Windows 7/64 (International English verziók). Szövegszerkesztő: MS Word 2003 és 2010 (angol). Nyomtatók: HP Laserjet 2300d, HP Deskjet 840, Epson XP-750.
5. a)
ACD/ChemSketch 12.0, Advanced Chemistry Development Inc, Toronto, Canada; Internet cím:
http://www.acdlabs.com Az ingyenes verzió innen elérhető.
b) David Bradley: Chemical Structure Drawing Software, URL: http://www.sciencebase.com/aug04_iss.html (ismertetés, utolsó elérés 2012.11.20)
6.
Chemistry 4-D Draw 8.4.6, ChemInnovation Software Inc., San Diego, USA,
http://www.cheminnovation.com.
7. a)
MarvinSketch 5.11, ChemAxon Ltd, Budapest, Hungary; URL:
http://www.chemaxon.com
b) Marvin ismertetés. URL: http://www.macresearch.org/review-marvin (utolsó elérés 2011.12.28)
8. a) P. Ertl: Molecular structure input on the web.
J. Cheminformatics,
2:1 (2010); URL:
http://www.jcheminf.com/content/2/1/1
b) A comparison of six chemical drawing packages. URL: http://homepage.mac.com/swain/Sites/Macinchem/Reviews/chem_drawing_packages/chem_draw_packages.html (utolsó elérés 28.12.2011.12.28)
9. a)
ChemDoodle 7.0, iChemLabs LLC, Piscataway, NJ, USA; URL:
http://www.chemdoodle.com
b) ChemDoodle ismertetés. URL: http://www.macresearch.org/chemdoodle-3-review
c) ChemDoodle Web Components ismertetés. URL: http://homepage.mac.com/swain/Macinchem/Reviews/Chemdoodle/chemdoodle_web_components.htm (utolsó elérés 2013.2.28)
10. Kémiai rajzolóprogramok összehasonlításával, kémiai rajzokkal foglalkozó cikkek
a) Vikas Anand: Comparative Evaluation of Freely Available Chemical Structure Drawing Softwares.
URL: http://www.pharmainfo.net/reviews/comparative-evaluation-freely-available-chemical-structure-drawing-softwares (utolsó elérés 2014.09.17)
b) A. M. Clark: Basic primitives for molecular diagram sketching. J. Cheminformatics, 2:8 (2010)
URL: http://www.jcheminf.com/content/2/1/8 (utolsó elérés 2012.11.20)
11. Az eredeti jóval rövidebb változat:
a) Internet J. Chem. 3, L 25 (2000) (ISSN 1099-8292)
b) Gunda Tamás: Magyar Kémiai Folyóirat 104, 25-33 (1998)
c) Régebbi programok ismertetése:
ChemText 1.2: Gunda Tamás: Magy. Kém. Foly. 95, 353 (1989)
PLT 5.1: Gunda Tamás: Magy. Kém. Foly. 99, 216 (1993)
ISIS/Base 1.2: Gunda Tamás: Magy. Kém. Foly. 101, 168 (1995)
ISIS/Draw 1.2: Gunda Tamás: Magy. Kém. Foly. 101, 170 (1995)
12. OSRA: Optical Structure Recognition Application. URL:
http://cactus.nci.nih.gov/osra
13. Accelrys Draw add-ins:
https://community.accelrys.com/message/12419
Vissza az elejére
Első rész
Gunda Tamás honlap
Ez az összefoglalás Adobe pdf formátumban letölthető rajzprog_rev_2014_2.pdf (~3 MB)

Kémiai rajzolóprogramok – Accelrys (Symyx) Draw, ChemBioDraw (ChemBioDraw), DrawIt, ChemSketch, CheDoodle és Chemistry 4-D Draw összevetése
by Dr. Gunda Tamás is licensed under a Creative Commons Attribution-Non-Commercial-No Derivative Works 2.5 Hungary License.
Erre az internet összeállításra a Creative Commons szerzői jogi licenc feltételei érvényesek.
Az öszeállításra bárki szabadon hivatkozhat, kapcsolhatja a saját honlapjához és idézhet belőle a forrás megjelölésével.
Bármilyen változtatás, kereskedelmi célú felhasználás vagy más nyomtatott vagy elektronikus médiatermékekben való felhasználás
csak a szerző írásos hozzájárulásával lehetséges.
All trademarks and photographs are ™ and/or © by their respective owners.
No infringement is intended upon the rights of any holders of any copyright or trademark referenced herein.
|
Gunda Tamás ©
|
|
Ez az oldal Editpad Pro szerkesztővel készült és Firefox böngésző használatára optimalizált.
|